¿Qué es y cómo hacer un manual de procedimientos?

De Sosteniblepedia
Ir a la navegación Ir a la búsqueda


Un manual de procedimientos es una guía con el propósito de establecer la secuencia de pasos para que una empresa, organización o área, consiga realizar sus funciones, así como definir el orden, tiempo establecido, reglas, o políticas y responsables de las actividades que serán desempeñadas.

Bien definido, un manual de procedimientos es una herramienta muy útil, que les permitirá rápidamente a las personas entender y realizar sus actividades. Mal implementado, y sin una estrategia para su elaboración e implementación, nos llevará a generar documentos que con el tiempo nadie utilizará y quedarán guardados y sin actualizar.

Aquí te mostraremos cómo hacer un manual de procedimientos desde cero, con todos los puntos importantes que debe contener y apegado a estándares. Así como también una estrategia para involucrar a los diferentes responsables en su elaboración, actualización y seguimiento.

Esto será de mucha ayuda, dado que los proyectos para elaborar los manuales se dejan a una sola área o persona, implicando mucho más tiempo y dificultad.

Comencemos por definir algunos conceptos importantes:

¿Qué son los procedimientos?

Procedimiento

Un procedimiento es una serie de pasos bien definidos para conseguir un objetivo específico. O un conjunto de acciones que es la forma oficial o aceptada de realizar algo.

Existen diferentes ámbitos en los que se conciben los procedimientos:

– Administrativos

– Judiciales

– Médicos

– Informáticos

– De actuación

– Otros.

En nuestro caso, nos enfocaremos en los procedimientos administrativos, que están relacionados con la gestión de empresas. Sin embargo, los conceptos generales acerca de cómo hacer un manual de procedimientos aplican para cualquier categoría.

Por otro lado, existe otro concepto muy importante, que muchas veces es confundido o visto sin diferencia al de procedimiento. Este es el concepto de proceso.

¿Qué es un proceso?

Proceso

Un proceso es un conjunto de actividades mutuamente relacionadas que al interactuar juntas, convierten los elementos de entrada en resultados.

La diferencia radica en que un proceso puede seguir uno o más procedimientos.

Por ejemplo, si tengo hambre, podría ordenar comida a domicilio.

Este es un proceso que implica actividades como:

  1. Llamar por teléfono
  2. Ordenar comida
  3. Preparar la comida por el establecimiento
  4. Empaquetarla para llevar
  5. Hacer la entrega
  6. Cobrar el pedido

Un procedimiento que sigue este proceso es el de preparar la comida.

Dado que cada plato es preparado diferente, el cocinero o chef tendrá una receta de la cual se guíe para prepararlo.

Por lo tanto los procesos tienen un alcance más amplio y general, y comúnmente intervienen varias personas.

Los procedimientos son más específicos, detallan la forma de proceder para la ejecución de una tarea determinada.

Es entonces válido que, en lugar de definir solo procedimientos, podamos generalizar más y establecer un manual de procesos y procedimientos.

Sin más preámbulo, veamos los pasos para hacer un manual de procedimientos.

¿Cómo crear un manual de procedimientos?

A continuación, veremos cómo crear un manual de procedimientos paso a paso:

1. Establece los elementos y estructura que tendrá el manual.

Es importante definir qué estructura y elementos queremos que tenga nuestro manual.

Esto nos ayudará tanto para contemplar toda la información que queremos plasmar en el mismo, como para saber si vamos a necesitar más de un manual, y que todos se hagan de la misma forma.

Elementos

Los elementos que a continuación listamos, son todos aquellos que puedes incluir el manual para describir cada proceso o procedimiento que incluyas en él.

Aunque se recomienda incluir al menos estos, existen casos en que pueda ser recomendable agregar algunos otros.

El conjunto de elementos a considerar son:

  1. Objetivo: Describe el propósito o resultado que desea obtener del proceso o procedimiento.
  2. Justificación: Describe el por qué de la existencia e importancia del proceso y lo que pasaría si no se lleva a cabo.
  3. Alcance: Establece los límites que tendrá el proceso. Estos se determinan a través de la identificación de los eventos de inicio y fin, así como de las etapas que incluye.
  4. Participantes: Los participantes son las personas, sistemas u otros procesos o procedimientos que realizan las actividades
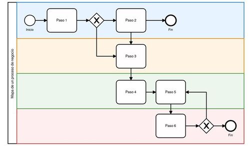
  5. Diagramas: El modelo o diagrama que muestran al proceso completo en forma gráfica. Se recomienda hacer uso de estándares para los diagramas. Uno muy utilizado hoy en día es BPMN o Notación para el modelado de procesos.

Un diagrama de proceso en la notación BPMN se ve así

Diagrama de proceso.jpg


6. Actividades: Es el trabajo o tareas que hay que realizar como parte del proceso o procedimiento. Se definen a través de sus atributos los cuales son:

  • Nombre
  • Descripción
  • Responsable
  • Entradas
  • Salidas
  • Reglas de negocio

7. Políticas o reglas de negocio: Describen políticas, guías, estándares o regulaciones sobre el cual el negocio opera.

8. Pre y post condiciones: Condiciones que se tienen que cumplir para dar inicio al proceso o procedimiento, y lo que resulta después de haberlo ejecutado.

9. Eventos de inicio y fin: Son las situaciones o sucesos que hacen que se inicie o termine el proceso o procedimiento.

Estructura

En cuanto a la estructura que tendrá el manual podremos considerar:

1. Carátula

2. Índice

3. Control de versiones

4. Introducción

5. Audiencia objetivo

6. Contenido (incluir aquí los elementos)

7. Glosario

Define el alcance e involucrados

Dependiendo de la necesidad, quizás quieras definir todos los procedimientos de tu organización, los de algunas áreas, o solo los de una en particular. En este caso, la tarea es determinar hasta dónde abarcará.

Por ejemplo, consideremos que somos una pequeña compañía, los procedimientos que podremos contemplar son:

1. Ventas

2. Operaciones

3. Administración y finanzas

Por lo pronto es posible dejar pendiente otros procedimientos, como por ejemplo, los del área de recursos humanos o informática, dado que en este caso nuestra prioridad es mantener la labor comercial y operativa.

Los involucrados serán las áreas y personas que llevan a cabo actividades en dichas áreas.

Conocer los límites de aquello que quieras incluir el manual, te ayudará a saber hasta dónde debes detenerte en documentar.

Establece los procesos y procedimientos

En este punto deberás definir qué proceso y procedimientos deseas incluir.

Siguiendo con el ejemplo, consideremos que queremos establecer nuestros procesos y procedimientos para ventas.

Los que podemos incluir son:

1.     Planeación y ejecución de campañas de marketing

2.     Seguimiento y atención a prospectos

3.     Elaboración y presentación de propuestas

4.     Pedidos

5.     Etc.

Por otro lado, en cuanto a los de operaciones se podría incluir:

  1. Compras
  2. Plan de producción
  3. Fabricación o entrega de servicios
  4. Logística
  5. Etc.

Y finalmente, los de administración y finanzas:

  1. Facturación
  2. Cobranza
  3. Contabilidad
  4. Trámite de pago
  5. Etc.

Puedes incluir todos los procesos que consideres importantes. Sin embargo, una buena forma de empezar es seleccionando solo algunos.

En la manera en que se vayan definiendo e implementando los primeros, siempre será posible incorporar más. Si empezamos con un conjunto reducido, esto nos ayudará a que al principio la complejidad no sea tanta.

Completa el manual

En este punto, lo que sigue es obtener la información que definimos en el punto uno de la estructura y elementos, con el fin de definir con detalle los procesos y procedimientos que hemos identificado.

Esta información se debe obtener a través de los expertos en la materia, que son las personas que desempeñan las actividades.

Ya con dicha información en nuestro poder, deberemos transcribirla en nuestro manual, estableciendo un control de revisiones para las diferentes versiones que vayamos generando.

Es recomendable que la información de nuestros procesos y procedimientos la obtengamos yendo de lo más general a lo más particular.

Si empezamos por lo más particular, como por ejemplo, describiendo algunas actividades específicas, esto mantendrá el foco en los detalles, impidiendo que tengamos una perspectiva general de lo que implica el proceso completo.

Una secuencia adecuada del orden en el que podremos obtener la información es:

  1. Definir el objetivo
  2. Definir el alcance
  3. Identificar las actividades implicadas (sin ningún orden o responsable aún)
  4. Seleccionar los participantes o responsables.
  5. Definir quién realiza cada actividad
  6. Crear un diagrama de flujo de trabajo (work-flow)
  7. Definir el modelo de negocio.
  8. Definir pre-condiciones
  9. Definir post-condiciones
  10. Crear un modelo de datos (Entrada/Salida)
  11. Describir cada proceso y actividad.

Valida el manual

Una vez que tienes ya una primera versión del manual, la tarea es validarlo.

Validarlo consiste en corroborar que la información plasmada coincida con la realidad en cómo se desempeña el proceso o procedimiento en cuestión.

La validación se puede llevar a cabo de diferentes formas.La más simple es enviar el manual al responsable de cada área, pidiendo que revise y dé visto bueno o genere observaciones.

El problema que puede tener esta forma, es que muchas veces hay personas que por sus ocupaciones o prioridades, pueden no revisarlo y darnos eñ visto bueno, cuya consecuencia es que haya errores u omisiones.

Otra forma es organizar una reunión en donde se presente el manual a todos los responsables, y ahí se obtengan las observaciones del conjunto, para luego incorporarlas al manual. En este caso, también se puede dar la situación de que haya personas introvertidas que no participen y no den su punto de vista, o por el contrario, personas demasiado extrovertidas que quieran imponer su punto de vista. La clave para llevar adelante esta forma de validación, es saber moderar la reunión y contar con la participación de todos.

Previamente, también se puede enviar el manual para que las personas que asistan al encuentro vayan con un entendimiento inicial, antes de que se lleve a cabo la reunión.

Estrategia para elaborar manuales con éxito

Hasta ahora, hemos visto cómo podemos por nosotros mismos llevar a cabo la elaboración del manual de procedimientos de nuestra empresa o área en cuestión.

Si somos una pequeña empresa, no tendremos dificultad en realizar esta actividad, pues los procedimientos a determinar pueden llegar ser solo algunos, y la tarea de documentación y actualización será posible de ser alcanzada por nosotros mismos.

Pero si somos una empresa mediana o grande, el hacerlo puede llegar a tornarse mucho más complicado. No solo por el tiempo que tome elaborar los manuales, sino por el hecho de que adquirir el conocimiento para entender los diferentes conceptos, reglas y flujos, será una labor que nos implique adentrarnos en muchas áreas diferentes, muchas veces sin contar con los conocimientos necesarios para poder hacerlo bien.

Es por esto que recomendamos involucrar a los expertos en la materia, que son los responsables de llevar adelante los procedimientos en cada área.

No es necesario involucrar a todos y a cada uno de ellos, por lo tanto, aquello que sí podemos hacer, es nombrar a un experto que represente al área o procedimiento en cuestión, y de esta forma, podríamos solicitar entonces a estos expertos que sean ellos mismos quienes redacten los procedimientos.

Nuestro rol en ese caso sería el de facilitadores para lograr que cada uno de estos expertos realice su propio manual de procedimientos. Nuestra labor será la de coordinar el proyecto de elaboración de los manuales, en consecuencia, deberíamos ocuparnos de proveer los insumos necesarios para que se realicen.

Nuestras actividades se centrarían en:

  • Elaborar el formato o documento estándar de manual de procedimientos que utilizaría cada área.
  • Identificar y organizar un grupo de personas en la compañía que serían las encargadas de elaborar los manuales, de preferencia un experto por área.
  • Reunir al personal del área y comunicar el proyecto, mencionando quien sería el responsable de llevar adelante las tareas.
  • Capacitar a cada persona en la estructura y elementos que debe contener el manual, así como proveer ejemplos de manuales que le sirvan de inspiración.
  • Ante cualquier duda que surja, brindar acompañamiento y soporte.
  • Revisar y dar seguimiento periódico a los avances en la elaboración de los manuales.
  • Una vez terminado cada manual y su actualización, controlar las nuevas versiones.
  • Comunicar los manuales al interior de la organización.
  • Capacitar en el uso de los manuales a todos los que participen en las actividades incluidas en ellos.
  • Establecer un repositorio donde las personas puedan acceder a los manuales.
  • Hacer revisiones periódicas para asegurar que se sigue lo establecido en los manuales
  • Levantar no conformidades u omisiones de apego a manuales y reportarlas.
  • Escalar a los niveles directivos cuando no se resuelvan las no conformidades.
  • Llevar un control de no conformidades, y señalar dónde se centran los no cumplimientos
  • Establecer un buzón de sugerencias o solicitudes de cambio a los manuales.
  • Gestionar con los expertos las solicitudes de cambio, evaluar y definir cuáles aplican y cuáles no.
  • Controlar los cambios a cualquier modificación que surge efecto sobre un manual.

Conclusiones

·       Los manuales de procedimientos, correctamente implementados, son una herramienta que da mucho valor a una organización.

·       Si lo hacemos de la manera incorrecta, se puede convertir en una iniciativa fallida que no solo nos implique un gasto y una pérdida de tiempo, sino que nos puede llevar a perder eficiencia, efectividad y competitividad.

·       La clave para garantizar el éxito es seguir un método, utilizar estándares, y desarrollar una estrategia.

·       En el momento de elaborar un manual de procesos y procedimientos, no debemos considerarlo como un esfuerzo aislado, sino como un proyecto en donde debemos involucrar a las diferentes áreas y responsables que conforman nuestra organización.

·       Solo las pequeñas empresas pueden llevar a cabo iniciativas en las que solo una persona sea la que defina y elabora el manual.

·       Durante el proceso, siempre es recomendable involucrar a todos los demás integrantes de la organización en el conocimiento, uso y mantenimiento de los manuales de proceso y procedimientos. Solo así garantizaremos que las personas lo utilicen y hagan buen uso de él.

Plantilla para crear un manual de procesos y procedimientos

1. Introducción

1.1 Propósito del documento

El propósito de este documento de especificación es describir el proceso de (nombre del proceso), con la finalidad de que los diferentes elementos que lo conforman sean completamente definidos para garantizar su entendimiento y correcta ejecución.

1.2 Ámbito del documento

Este documento se limita a describir únicamente al proceso de (nombre del proceso) incluyendo su modelo y la especificación de sus diferentes atributos.

1.3 Audiencia objetivo

La audiencia objetivo de este documento se centra en los diferentes participantes del proceso de (nombre del proceso) para ayudarles a entender y desempañar las actividades que realizan, así como (mencionar otros interesados)

2. Información general del proceso

2.1 Objetivo

“Coloque aquí el objetivo del proceso”

2.2 Justificación

“Coloque aquí la justificación del proceso”

2.3 Alcance

“Describa el alcance del proceso”

2.4 Participantes del proceso

“Mencione cuáles son los participantes del proceso”

2.5 Evento de inicio y de fin

“Describa los eventos de inicio y fin del proceso”

2.6 Pre-condiciones y Post-condiciones

“Describa las pre y post condiciones del proceso”

3. Especificación del proceso

3.1 Descripción general

“Describa el macro proceso empezando con una descripción general del proceso y posteriormente el diagrama macro con las etapas que lo componen”.

3.2 Etapa No. – Nombre de la etapa

“Describa cada una de las etapas empezando con una descripción general de la etapa, después el diagrama de proceso de la etapa y posteriormente la descripción de cada una de las actividades”

N° de actividad Número de actividad, utilizar la convención X.Y ej.1.1, 1.2, etc.
Nombre Nombre corto
Responsable Responsable de realizar la actividad (solo uno)
Entradas Las entradas que recibe la actividad
Salidas Las salidas que produce la actividad
Descripción Descripción detallada de la actividad
Reglas de negocio Reglas de negocio asociadas a la actividad

4. Catálogo de reglas de negocio

Identificador Identificador único. Por ejemplo: RN001, RN002
Nombre Descripción breve la regla
Descripción Descripción completa
Fuente Referencia a manual, política o normatividad de donde salga la regla
Reglas relacionadas Las reglas que puedan estar relacionadas
Estabilidad Si cambia o no la regla con frecuencia. Por ejemplo: Cambia con frecuencia o permanece sin cambios constantes
Excepciones Cualquier excepción a la regla

5. Glosario de términos